柯尔特袖珍型转轮手枪,长215毫米,重0455千克,口径8128毫米
柯尔特袖珍型转轮手枪(Colt Pocket Positive Revolver)是美国著名枪械制造商柯尔特公司在1895年至1943年期间生产的一款中口径袖珍手枪。这一时期,正值世界枪械技术迅猛发展的年代,尤其是转轮手枪的设计和应用得到了广泛的关注和创新。柯尔特公司以其卓越的制造工艺和创新精神,推出了这款袖珍型转轮手枪,以满足市场对小巧、便携且高效武器的需求。
柯尔特袖珍型转轮手枪 百度百科
柯尔特袖珍型转轮手枪采用了当时先进的设计理念,其最大的特色在于引入了独特的“Positive Safety”(绝对安全)装置。这种安全装置的设计,使得编号为30000以上的手枪在使用过程中更加安全可靠,减少了意外走火的风险。手枪的弹巢设计巧妙,能够兼容发射0.32英寸柯尔特转轮手枪长弹和0.38英寸史密斯-韦森转轮手枪长弹。这一兼容设计,不仅提高了武器的适用性,还优化了不同类型弹药的性能。
柯尔特转轮手枪
柯尔特袖珍型转轮手枪全枪长215毫米,重0.455千克,弹匣容弹量为6发,口径为8.128毫米。这些参数使得它在保持小巧轻便的同时,仍具备了强大的火力和可靠性。其构造特点包括在枪管左侧标有“POCKET POSITIVE/32 POLICE CTG”的标记,右侧标有“COLT’S PAT FA CO”标记,并在枪身左侧有奔马标志。该手枪没有传统的保险装置,而是通过后推位于枪身左侧、转轮后方的转轮闩进行操作,确保弹药安全装填和发射。
柯尔特袖珍型转轮手枪在生产的四十余年间,经历了多次改进和优化。这一过程中,柯尔特公司不断吸收用户反馈,改进生产工艺,使得这一系列手枪在市场上赢得了广泛的好评。随着时间的推移,虽然新型手枪层出不穷,但柯尔特袖珍型转轮手枪以其独特的设计和卓越的性能,依旧在手枪历史上占据了一席之地。
柯尔特袖珍型转轮手枪不仅在美国国内广受欢迎,还出口到世界各地,影响深远。它的设计理念和技术创新,为后来的手枪设计提供了宝贵的经验和参考。特别是在安全装置方面的突破,使得后来的手枪设计更加注重使用安全,减少了枪械意外事故的发生。
柯尔特转轮手枪
在同一时期,柯尔特公司还生产了其他多种著名手枪,如柯尔特双鹰手枪、0.22RF85型匕首手枪、勃朗宁1935型大威力手枪等。这些武器在不同领域和场合中发挥了重要作用,共同构成了柯尔特公司丰富的产品线,展示了其在枪械制造领域的强大实力和创新能力。
长短叶片转轮对振动改善的应用与研究
国内抽水蓄能机组大多采用常规叶片水泵水轮机设计,且大部分为9+20组合,即转轮叶片数为9,活动导叶数为20,该组合设计方式的机组多数都伴有由动静干涉(RSI)引起的机组及厂房振动问题。长短叶片水泵水轮机的应用,最早由日本引入中国,国内应用相对较少,且都是5+5长短叶片。针对国内采用常规叶片水泵水轮机设计的抽水蓄能机组大多都伴有由动静干涉(RSI)引起的机组及厂房振动问题,结合世界首台成功应用的6+6长短叶片水泵水轮机改造案例,为了探究长短叶片转轮对于动静干涉及机组振动的改善,全面对比分析了改造前的9叶片水泵水轮机对机组及厂房振动的影响以及改造后的6+6长短叶片水泵水轮机对机组及厂房振动的改善。结合动静干涉机理分析以及频谱分析,推论出机组及厂房振动问题的主要原因,总结出长短叶片对改善内部流态、减小压力脉动的优势,并结合相位共振机理分析对动静干涉引发压力管道相位共振的可能性进行了探讨。研究结果表明:机组及厂房主振源来自于无叶区动静干涉,主要频率成分为90 Hz,厂房局部发生共振导致楼板振动偏大。使用6+6长短叶片水泵水轮机后,机组及厂房楼板振动降幅均超过60%,部分测点降幅甚至超过90%;压力脉动测点降幅均超过50%;长短叶片水泵水轮机对机组及厂房振动改善效果明显。
关键词:
动静干涉;相位共振;厂房振动;长短叶片;抽水蓄能电站;水泵水轮机;压力脉动;
作者简介:
范洋铭(1988—),男,工程师,硕士研究生,主要从事大型装备结构刚强度以及旋转机械故障诊断、减振降噪等研究。
*谢石林(1971—),男,教授,博士,主要从事智能材料与结构振动控制研究。
基金:
国家自然科学基金项目(11872290);
引用:
范洋铭,何启源,王明坤,等. 长短叶片转轮对振动改善的应用与研究[J]. 水利水电技术( 中英文) ,2022,53( 7) : 58-68.
FAN Yangming,HE Qiyuan,WANG Mingkun,et al. Application and study on vibration improvement by runner with splitter blades[J]. Water Resources and Hydropower Engineering,2022,53( 7) : 58-68.
0 引 言
“十三五”期间,我国抽水蓄能进入蓬勃发展时期,2021年9月,国家能源局发布的《抽水蓄能中长期发展规划(2021—2035年)》中提到,到2025年抽水蓄能投产规模较“十三五”时期翻一番,达到6 200万kW以上;到2030年,投产规模较“十四五”再翻一番,达到1.2亿kW。抽水蓄能以其技术最成熟、经济性最优、最具大规模开发的优势,成为实现碳达峰、碳中和目标,完成电力系统转型升级的重要手段。伴随着抽水蓄能大规模开发,机组及厂房振动问题层出不穷,其中,由转轮与导叶间动静干涉(RSI)引起的无叶区压力脉动,成为引发机组及厂房振动的主要激励源之一。国外学者对动静干涉及振动问题进行了深入研究,EGUSQUIZA等通过研究不同抽水蓄能电厂振动监控数据发现,动静干涉产生的压力脉动是一种主要激振源,且水泵水轮机比常规水轮机动静干涉更加强烈。KOICHI等对离心泵的相位共振问题进行了研究,并且对比分析了泵模式和水轮机模式下的差异,试验数据表明,转子的旋转方向对压力脉动特性没有影响,但对动静干涉的传播方向有着重要影响。NICOLET等对混流式水泵水轮机动静干涉作用进行了一维建模,并对共振条件下的动静干涉作用进行了水声模拟,分析了导叶和转轮叶片厚度、转频以及波速等对动静干涉的影响,同时也研究了动静干涉在蜗壳区域产生水声共振的振型与频率特征。TANAKA 对水泵水轮机动静干涉问题作了详细阐述,给出了动静叶片干涉的振动频率和模式,并在此基础上对转轮振动特性、转轮水下固有频率、转轮动应力的疲劳破坏等进行了研究。随着抽水蓄能机组在国内的大量投产,国内学者逐渐开始关注由动静干涉引起的机组和厂房振动问题,也进行了大量的试验分析和研究,张超等对惠州抽水蓄能机组及厂房振动进行了测试分析,其分析重点主要为厂房结构动力特性,未对水力激振产生的机理进行研究,也并无后续的改进措施和效果。张飞等测试分析了抽水蓄能机组动静干涉导致的厂房振动情况,通过相位差表征出动静干涉频率向厂房各层楼板传播时存在延时,但并没有提出后续改进措施。唐拥军等和路建等介绍了张河湾抽水蓄能机组由动静干涉导致厂房局部结构发生的共振现象以及解决措施,通过优化叶片进口型线、扩大导叶分布圆直径和加长泄水锥来减小压力脉动,使厂房振动过大问题得到解决,其解决方案依旧采用9叶片的常规叶片转轮。以上分析和研究主要集中于常规叶片水泵水轮机,对于长短叶片水泵水轮机的应用与研究相对较少。长短叶片转轮,又称为分流式转轮,即在相邻长叶片流道间添加短叶片,从而改善内部流态。混流式水轮机长短叶片研究始于20世纪90年代中期,而长短叶片在水泵水轮机中的应用研究稍晚。TAGUCHI等的研究表明,长短叶片在减小压力脉动、提高水轮机和水泵效率等方面有明显的优势。TANAKA以同为700 m超高水头段的神流川和葛野川(世界最高扬程)两个抽水蓄能机组做对比分析,结果表明,采用5+5长短叶片的神流川与采用7叶片的葛野川水泵水轮机相比,在水轮机工况下,尾水压力脉动减小近一半,且转轮动应力值更低。POCHYLY等通过对比研究分流式叶片水泵水轮机和随机叶栅的水泵水轮机,发现插入分流式叶片后的水泵水轮机可在较宽的范围内运行且效率较高,水泵工况下的压力脉动显著降低,尤其是在不稳定区域。CAVAZZINI等通过试验和数值分析,对带分流叶片和不带分流叶片的离心叶轮泵的吸入性能进行了比较,发现在大流量下,吸入性能有显著改善。KASSANOS等对带分流叶片的混流式转轮的尾水管非定常特性进行了数值研究, 并将性能结果与未使用分流叶片的转轮进行了比较,发现分流叶片可以降低部分负荷下的尾水涡带影响,并从结果中观察出脉动频率与分流叶片几何形状之间的关系。国内张思青等采用Realizable k-ε双方程湍流模型和三维时均N-S方程,对长短叶片在额定流量工况下湍流流动进行了全流道三维定常模拟研究,获得了长短叶片水轮机全流道的流速和压力分布,计算结果表明,长短叶片水轮机流速和压强分布合理、性能优良。
长短叶片在国内抽水蓄能机组中的应用相对较少,且均采用5+5长短叶片转轮。本文在对动静干涉机理进行阐述的基础上,结合世界首台成功应用的6+6长短叶片水泵水轮机实际案例,通过对比转轮改造前的9叶片水泵水轮机对机组及厂房振动的影响,以及改造后的6+6长短叶片水泵水轮机对机组及厂房振动的改善,推论出机组及厂房振动的主振源来自于无叶区动静干涉,结合频谱分析推断出厂房局部发生共振导致楼板振动偏大,总结出长短叶片对改善内部流态、减小压力脉动等方面的优势,并结合相位共振机理分析对动静干涉引发压力管道相位共振的可能性进行了探讨。研究成果可为后续由动静干涉引发的机组及厂房振动问题的解决,以及长短叶片水泵水轮机的应用提供参考。
1 动静干涉与相位共振
1.1 动静干涉
水泵水轮机导叶出水边一般设计较厚,当流体经过导叶后,会形成尾迹效应,尾迹效应是由导叶本身带来的流动损失,以及压力面和吸力面的压力梯度所造成。当运动的转轮叶片经过导叶出口的尾迹时,会造成尾迹切割,同时尾迹对转轮叶片产生冲击,使转轮受到一个规律性和周期性的激励。图1 为转轮叶片数为9、活动导叶数为20的动静干涉示意图。首先是叶片1和5同时被活动导叶1和10产生的尾迹所激励;转轮顺时针旋转4°后,叶片2和6同时被活动导叶3和12产生的尾迹所激励;转轮再顺时针旋转4°后,叶片3和7同时被活动导叶5和14产生的尾迹所激励。由于总是两个叶片被同时激励,因此会产生2节径的压力脉动振型。
图1 动静干涉现象示意
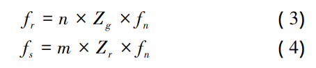
TANAKA在1990年首次详细论述了水泵水轮机动静干涉,并在研究报告中给出了动静叶片干涉的振动频率和模态,之后KUBOTA等对公式进行了进一步推导,得出动静干涉引起的压力脉动具有低阶和高阶两种水力激振模态,最小和最大节径数分别表示为
式中,k1和k2为压力脉动振型节径数;Zr为转轮叶片数;Zs为活动导叶数;m、n为任意正整数。k值有正负,正表示压力脉动模态旋转方向与转轮旋转方向相同,负则相反。
图2 为不同节径数的振型。其中星号表示动静干涉引起的水力激振最高点,+、-表示振动方向相反,在最高点和最低点之间会有位移为0的沿直径分布的一条线,就是节径,并且节径会随着转轮旋转而旋转。
图2 不同节径的振动模态
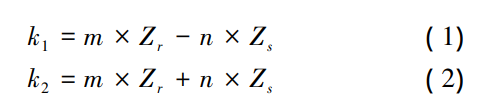
从静止部件看,动静干涉引起的水力激振作用于转轮上的频率为活动导叶过流频率fr及其倍频,从转动部件看,水力激振作用于导叶上的频率为转轮叶片过流频率fs及其倍频,表达式为
式中,fn为机组转动频率。
1.2 相位共振
转轮叶片与导叶动静干涉引起的压力脉动,通过导叶通道向上游传播到蜗壳,在蜗壳中干涉、反射和叠加形成的共振现象,被称为“相位共振”。在CHEN的理论模型中,蜗壳进口端或尾部狭窄端会出现共振状态的条件是,动静干涉引起的每个导叶通道的扰动在蜗壳两端各自具有相同相位,该模型中假设了每个导叶通道处有一个离散源。NISHIYAMA等研究发现,在抽水蓄能电站中观察到的相位共振可以用真空吸尘器的离心压缩机来模拟,通过现场试验发现,当转轮速度增加到动静干涉引起的压力脉动模态的转速与声速和流体速度之和一致时,蜗壳出口处会出现较大的振幅波动,无论模态旋转方向如何,都可能发生相位共振,这份研究也阐明了相位共振不是由于动静干涉下各导叶通道的离散源累积产生的,而是由于与蜗壳的相互作用而产生的,同时,当动静干涉模态的马赫数大于1时,蜗壳中会产生声波。
DOERFLER基于CHEN的模型给出了蜗壳进口和最窄截面压力波相位共振的评判准则
式中,M为周向马赫数;D为蜗壳平均直径;N为转轮的转速;a为波速;Pk为蜗壳两端叠加后的波的幅值;pk为导叶通道内单个波的幅值;k为转轮叶片过流频率的整倍数;Zr为转轮叶片数;Zs为导叶数。
式(6)中“+”号适用于逆旋转方向传播的压力波,水轮机工况它适用于流向压力管道的波,泵工况它适用于流向蜗壳最窄部分的波,相反的方向用“-”。式(7)中的Rf被称为风险因子,为避免相位共振问题,不应超过25%。
2 案例分析
2.1 机组参数及测点布置
机组基本参数如表1 所列。转轮改造前,转轮叶片数为9,活动导叶数为20。
测点主要包含厂房振动、机组振动、压力脉动三个部分(见图3 )。其中厂房振动测点主要包含发电机层、母线层、水轮机层、蜗壳层的楼板垂直振动;机组振动测点主要包含上导、下导、水导摆度,上机架、机座、下机架、顶盖、蜗壳进口振动;压力脉动测点主要包含蜗壳进口、顶盖、无叶区、尾水管。
图3 测点布置示意
2.2 转轮改造前振动现象
转轮改造前,机组振动主要表现为:抽水工况运行较为平稳,发电工况随负荷升高振动明显增大,且厂房振动和机组振动表现趋势一致,都是随着负荷升高而增大。在150~180 MW区间,机组和厂房振动随负荷升高而减小,180 MW附近振动幅值达到最小,之后随着负荷升高而快速增大,300 MW额定功率时达到最大(见图4 )。
图4 机组和厂房振动幅值与负荷关系曲线
机组及厂房振动实测数据如表2 所列,参考《水力发电厂和蓄能泵站机组机械振动的评定》(GB/T 32584—2016)评价标准,300 MW额定发电工况下,顶盖垂直与上下机架振动均进入C区,该区域长期运行将对机组使用寿命产生负面影响,必须采取措施减小机组振动。
厂房振动方面,国内水电站相关规范如《水电站厂房设计规范》(NB/T 35011—2016)仅对机墩的振动控制有要求,而对楼板振动没有明确要求,大连理工大学综合分析国内外相关规范,针对国内水电站厂房提出的建议振动标准如表3 所列,300 MW额定发电工况下,发电机层和母线层楼板的振动最大值超过标准中的3.2 mm/s, 从人体健康角度评价,运维人员不宜长时间在此环境中工作,应该采取措施减小厂房振动。
2.3 振动原因排查
引起机组振动的原因主要有三个方面:机械、电气和水力。机械原因主要包括:转子质量不平衡、轴线不对中、轴瓦支撑刚度不均、转子碰摩等,产生的频率成分主要为转频及其倍频(如2、3、4倍频);电气原因主要包括:磁拉力不平衡、三相不平衡、定子铁芯松动等,产生的频率成分主要为转频及其倍频(如2、3倍频),以及50 Hz、100 Hz。由前面分析可知,机组振动最大测点为顶盖垂直振动,厂房振动最大测点为发电机层楼板振动,二者主要频率均为90 Hz, 且两者均随负荷升高而增大(见图5 );机组摆度无明显90 Hz频率分量(见图6 ),且机组在升流升压试验中,振动并无明显变化,因此可以判断造成振动的主要原因应该为水力原因。
图5 顶盖垂直和发电机层楼板振动频域瀑布图
图6 机组上下水导摆度频谱(300 MW)
水力原因主要包括:尾水涡带压力脉动、活动导叶与转轮间动静干涉产生的压力脉动、转轮密封间隙变化引起的振动、引水管道自激振动、卡门涡等。其中最有可能的是动静干涉引起的压力脉动偏大。
2.4 动静干涉分析
该抽蓄机组改造前的转轮叶片数为9,活动导叶数为20,参考前面关于动静干涉机理的分析,根据TANAKA等给出的式(1)和式(2),计算出的9+20组合不同节径数下的动静干涉频率如表4 所列。通常情况下,节径数k值越大,振动幅值越小,且强度会随着谐波阶数m和n的增加而衰减。表中k1绝对值最小为2,因此理论上作用于导叶上较为突出的动静干涉频率为18fn。这个结果与压力脉动测点频谱吻合(见图7 ),主要频率为18倍转频,即2倍叶片过流频率,正好为90 Hz。其中,无叶区压力脉动测点的2倍叶片过流频率幅值最大,证明了振源主要来自于无叶区压力脉动,由叶片和导叶的动静干涉引起。
图7 蜗壳进口、顶盖、无叶区、尾水压力脉动频谱(300 MW)
2.5 改造方案
转轮改造通常有两种方式:一种方式是改变转轮叶片数,通常是增加转轮叶片数或者采用长短叶片;另一种是叶片数不变,通过增大导叶分布圆、优化转轮叶片型线等方式来获得更好的水力特性。表5 为我国300~700 m水头段部分抽水蓄能机组的叶片组合,其中大部分采用9+20组合,通过统计分析,国内9+20组合的抽蓄机组,大部分都存在2倍叶片过流频率较为突出的问题。而长短叶片只有5+5的应用案例,且都是配16个活动导叶。由引言部分的介绍可知,长短叶片在减小压力脉动、降低转轮动应力、提高水轮机和水泵效率等多个方面都存在一定的优势。由于活动导叶下端轴安装在底环上,底环属于埋入件,因此活动导叶数无法改变,依然为20。如果采用5+5长短叶片,组合数为10+20,而这个组合由前面的公式可知,k值为0,这种模式下的水力激振容易引发轴向振动,使机组产生较大的振动和噪声。综合分析各种叶片数的优缺点,并结合CFD分析和模型试验研究,本案例最终采用6+6长短叶片转轮,这也是世界首台6+6长短叶片水泵水轮机应用案例。
2.6 改造后效果
如表6 所列,更换转轮后,300 MW额定发电工况下,机组与厂房振动大幅减小,机组振动和厂房振动降幅均超过60%,其中机架和顶盖垂直振动降幅超过80%,发电机层和母线层楼板振动降幅甚至超过90%,且转轮改造后机组和厂房振动随负荷升高明显增大的现象彻底消失(见图8 )。压力脉动相对值也大幅减小,无叶区、顶盖、蜗壳进口、尾水降幅均超过50%(见表6)。由于叶片数的改变,压力脉动频谱中的第一主频由18fn变为12fn,即90 Hz变为60 Hz(见图9 ),90 Hz分量很小,此时的90 Hz来源于1.5倍叶片过流频率,这是长短叶片转轮压力脉动频率特点。
图8 改造后机组和厂房振动幅值与负荷关系曲线
图9 改造后蜗壳进口、顶盖、无叶区、尾水压力脉动频谱
2.7 厂房共振分析
由图10 可知,顶盖和厂房振动虽然大幅降低,但从频谱分析来看,顶盖垂直振动在150~240 MW负荷区,其振动响应仍然有明显的90 Hz分量,在260~300 MW高负荷区90 Hz消失,60 Hz成为主频;然而厂房楼板振动始终以90 Hz为主,随负荷升高而递减,且发电机层、母线层、水轮机层楼板均如此,并未出现压力脉动中的第一主频60 Hz; 且更换转轮后,发电机层和母线层楼板振动降幅高达90%以上;由此可以推断,厂房的局部结构,尤其是发电机层、母线层、水轮机层楼板极有可能存在90 Hz左右的固有频率,且为垂直方向振型,因此厂房楼板在转轮改造前存在共振的可能性极大。
图10 改造后顶盖垂直和发电机层楼板振动频域瀑布图
2.8 长短叶片转轮优势
2.8.1 动静干涉激振力更小
6+6长短叶片转轮,相当于转轮叶片数为12,活动导叶数仍然为20,由前面的动静干涉公式可以得出前几阶次的动静干涉模态节径数:n=1,m=1时,|k|=8|k|=8;n=1,m=2时,|k|=4|k|=4;n=2,m=3时,|k|=4|k|=4;k值最小为4,相较于9叶片转轮k的最小值2来说,激励能量更小。
2.8.2 对S特性的改善
转轮改造前,机组在导叶同步状态水轮机空载区域存在S特性问题,并网困难。后采用3对非同步导叶解决该问题,但无叶区压力脉动、水导摆度、顶盖振动均显著上升。6+6长短叶片水泵水轮机应用后,S特性得到明显改善,并取消非同步导叶。
2.9 相位共振分析
该抽蓄机组蜗壳进口直径D为2 990 mm, 平均直径取0.8D为2 392 mm; 转速N为300 r/min; 根据计算经验,波速a一般为1 000~1 200 m/s, 这里取1 100 m/s; 由动静干涉机理分析可知,9+20叶片组合压力脉动振型表现为2节径,因此k=2。参考前面相位共振风险评估相关分析,由式(5)得到马赫数M=0.034 16。转轮叶片数Zr为9,导叶数Zs为20,式(6)中的符号取“+”,由式(7)计算出Rf=83.6%,远超过25%,发生相位共振的风险很高。由图7中的压力脉动频谱可知,蜗壳进口压力脉动以90 Hz为主;由图11 蜗壳振动测点的频域瀑布图可知,蜗壳进口振动也以90 Hz为主,且随负荷升高而增大;此外,机组高压岔管上方民居可测到主频为90 Hz的振动响应。由以上分析可以判断,动静干涉引起的压力脉动,向上游传播,在蜗壳进口端以及上游高压管道内引发相位共振,这种可能性是存在的,但目前的测试数据不足以支撑相位共振这一推论。
图11 蜗壳进口振动频域瀑布图
3 结果讨论
(1) 本文利用动静干涉机理分析及其相关计算公式进行机组及厂房振源分析,这在水电机组故障诊断,尤其是无叶区压力脉动引发的机组振动问题诊断方面有普遍适用性。该分析方法在文献[9]的张河湾厂房振动问题分析中就有所应用,但该文献只是利用动静干涉相关公式进行频率计算,并未对动静干涉机理进行分析阐述,相较而言,本文在动静干涉分析方面更加完善,包含动静干涉产生机理、水力激振模态以及不同节径数下的动静干涉频率分析等。
(2) 本文根据更换转轮前后动静干涉主频率的变化,并结合厂房楼板的振动频谱分析,以及楼板振动前后降幅等依据,推断出厂房楼板极大可能存在局部共振。但该推论缺少厂房结构动力特性有限元分析以及试验结果的支持,后期将针对厂房结构动力特性进行进一步的计算以及试验研究。
(3) 本文结合相位共振风险因子估算结果、蜗壳进口压力脉动及振动测试结果,以及相关文献对高压岔管上游的振动测试分析,对由动静干涉引发的压力管道相位共振可能性进行了探讨,但理由不够充分,没有对蜗壳进口是否存在同相压力波的叠加现象等评判依据进行研究,后期将针对相位共振的评判依据开展进一步的研究工作。
4 结 论
本文结合世界首台成功应用的6+6长短叶片水泵水轮机实际案例,全面对比9+20叶片组合与6+6+20叶片组合对机组及厂房振动的影响,可以得出以下结论。
(1) 根据动静干涉相关机理分析,并结合现场实测数据分析,推断出机组及厂房振动的振源来自于活动导叶和转轮之间的动静干涉(RSI),主要频率分量为90 Hz。
(2) 根据现场实测数据的频谱分析,推断出造成机组及厂房振动偏大的原因:厂房的局部结构尤其是楼板存在90 Hz左右的固有频率,90 Hz激励源引发楼板局部结构共振。
(3) 根据相位共振相关机理分析,并结合现场实测数据,推断出机组可能存在由动静干涉引发的压力管道相位共振现象,此推论需做进一步研究和探索。
(4) 此次6+6长短叶片水泵水轮机的成功应用再一次证明,长短叶片转轮在改善过流部件内部流态、减小压力脉动等方面有明显优势。
水利水电技术(中英文)
水利部《水利水电技术(中英文)》杂志是中国水利水电行业的综合性技术期刊(月刊),为全国中文核心期刊,面向国内外公开发行。本刊以介绍我国水资源的开发、利用、治理、配置、节约和保护,以及水利水电工程的勘测、设计、施工、运行管理和科学研究等方面的技术经验为主,同时也报道国外的先进技术。期刊主要栏目有:水文水资源、水工建筑、工程施工、工程基础、水力学、机电技术、泥沙研究、水环境与水生态、运行管理、试验研究、工程地质、金属结构、水利经济、水利规划、防汛抗旱、建设管理、新能源、城市水利、农村水利、水土保持、水库移民、水利现代化、国际水利等。
相关问答
问大家一下深圳试验线日本转轮,日本转轮有折扣吗??
[回答]转轮除湿技术最早是由美国的Bryant(布莱恩特)在1950年发明的,但是随着技术的发展,日本瑞典在转轮制造技术上逐步领先。同时转轮的组成成分,2008年之...
non-runner中文意思?
non-runner非转轮Anoptimizationalgorithmofrunnerandhowtosimulateflow,coolingandoptimizepro...
