射频工程师的50Ω阻抗问题:RF电路设计中的阻抗匹配
阻抗匹配是射频(RF)设计和测试的基本要求。阻抗不匹配引起的信号反射会导致严重的问题。
当您处理由理想电源,传输线和负载组成的理论电路时,匹配似乎是一项微不足道的常识。
射频系统中的阻抗分布
假设负载阻抗ZL是固定的。我们需要做的就是包括一个等于ZL的源阻抗(ZS),然后设计传输线,使其特性阻抗(Z0)也等于ZL。
但是,让我们暂时考虑一下在由众多无源元件和集成电路组成的复杂RF(射频)电路中实施此方案的难度。如果工程师不得不根据选择的一个阻抗作为所有其他阻抗的基础来修改每个组件并指定每个微带的尺寸,那么射频(RF)设计的过程将非常笨拙。
此外,这还假定该项目已经进入PCB阶段。如果我们想使用离散模块以现成的电缆作为互连来测试和表征系统,该怎么办?在这种情况下,补偿不匹配的阻抗更加不切实际。
解决方案很简单:选择可在众多RF(射频)系统中使用的标准化阻抗,并确保相应设计组件和电缆,等都已经选择了该阻抗:业界选择的这种标准阻抗的单位是欧姆,数字是50。
50Ω(欧姆)
首先要了解的是,对于50Ω阻抗,本质上没有什么特别的。虽然您可能会觉得,如果您花了足够的时间来和RF(射频)工程师一起工作,就会感觉到那并不是一个基本的常数。它甚至不是电气工程的基本常数,例如,请记住,简单地改变同轴电缆的物理尺寸都会改变它的特性阻抗。
尽管如此,50Ω阻抗还是非常重要的,因为大多数RF(射频)系统都围绕该阻抗进行设计。很难确切地确定为什么50Ω成为标准的RF(射频)阻抗,但是可以合理地假设发现50Ω在早期同轴电缆的情况下是一个很好的折衷方案。
当然,重要的问题不是这个特定值的来源,而是具有此标准化阻抗的好处。实现完美匹配的设计要简单得多,因为IC,固定衰减器,天线等制造商可以考虑这一阻抗来构建其部件。而且,PCB布局变得更加简单,因为如此多的工程师都有相同的目标,即设计特征阻抗为50的微带和带状线。
PCB板材的阻抗分布
根据Analog Devices的该应用笔记(MT-094.pdf),您可以按以下方式创建50Ω微带:1盎司铜,20 mil宽的走线,走线和接地层之间的间隔为10 mil(假设采用的是FR-4的电介质材料)。
在继续进行之前,我们要弄清楚,并不是每个高频系统或组件都针对50Ω设计的。可以选择其他值,实际上75Ω阻抗仍然很常见;同轴电缆的特性阻抗与其外径(D2)与内径(D1)之比的自然对数成正比。
同轴传输线的特性阻抗分布
这意味着内部导体和外部导体之间的更大间隔对应于更高的阻抗。两个导体之间的较大间距也导致较低的电容。因此,75Ω同轴电缆的电容比50Ω同轴电缆的电容低,这使75Ω电缆更适合于高频数字信号,因为这种信号需要低电容,以避免与逻辑低和逻辑高之间的快速过渡相关的高频内容过度衰减。
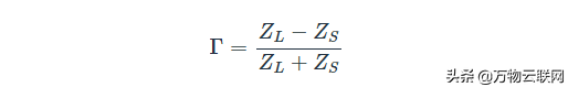
反射系数
考虑到阻抗匹配在RF设计中的重要性,我们不奇怪发现有一个用于表示匹配质量的特定参数。称为反射系数;该符号为Γ(希腊大写字母gamma)。它是反射波的复振幅与入射波的复振幅之比。但是,入射波和反射波之间的关系由源阻抗(ZS)和负载阻抗(ZL)确定,因此可以根据这些阻抗定义反射系数为:
如果在这种情况下“源”是传输线,我们可以将ZS更改为Z0,得到的反射系数如下:
在典型的系统中,反射系数的大小为0到1之间的某个数字。让我们看一下数学上最简单的三种情况,以帮助我们了解反射系数与实际电路行为的对应关系:
a、如果匹配完美(ZL = Z0),则分子为零,因此反射系数为零。这是有道理的,因为完美匹配不会导致反射。
b、如果负载阻抗是无限的(即开路,ZL = 无穷大),则反射系数变为无穷大除以无穷大,即为1,而反射系数为1对应于全反射,即所有波能都被反射。这也是有道理的,因为连接到开路的传输线对应于一个完全的不连续性(请参见上一讲的内容)-负载不能吸收任何能量,因此必将被全部反射。
c、如果负载阻抗为零(即短路,ZL = 0),则反射系数的大小变为Z0除以Z0。这样我们又有了|Γ| = 1,这也是有道理的,因为短路也对应于不能吸收任何入射波能量的阻抗完全不连续性。
驻波比(VSWR)
用于描述阻抗匹配的另一个参数是电压驻波比(VSWR),定义如下:
从所得驻波(VSWR)的角度来看,VSWR接近阻抗匹配。它传达了最高驻波幅度与最低驻波幅度之比。有很多驻波(VSWR)视频可以帮助您可视化阻抗失配与驻波幅度特性之间的关系,下图显示了三种不同反射系数的驻波幅度特性。
三种VSWR情况下的波形图:更大的阻抗失配会导致沿驻波的最高振幅位置和最低振幅位置之间的差异更大
VSWR通常表示为比率:完美匹配将是1:1,这意味着信号的峰值幅度始终相同(即没有驻波)。 2:1的比率表示反射已导致驻波,其最大振幅是其最小振幅的两倍。
总结
1、标准化阻抗的使用使RF设计更加实用和高效。
2、大多数RF系统的阻抗约为50Ω。某些系统使用75Ω。后一个值更适合于高速数字信号。
3、阻抗匹配的质量可以通过反射系数(Γ)在数学上表示。完全匹配对应于Γ= 0,而完全不连续(其中所有能量都被反射)对应于Γ= 1。
4、量化阻抗匹配质量的另一种方法是电压驻波比(VSWR)。
对于RF射频连接器基础你了解多少呢?
随着射频同轴连接器融合了传感器而推出适用于5G无线连接的新型5G射频连接器,为了能在全球范围内实施无线连接,往后5G无线设备的定制化部件成本会更低,可靠性应进一步加强,射频连接器的命名型号一般是用国际上通用的主称型号来定位的,不同产品的结构形式命名型号应按照详细标准规范制定,对于RF射频连接器基础你了解多少呢?
射频同轴连接器概述:
同轴连接器,(有的人也称它为射频连接器或RF连接器,其实严格上来说射频连接器并不完全等同于同轴连接器,射频连接器是从连接器的使用频率的角度来分类而同轴连接器是从连接器的结构来分类,有些连接器并不一定是同轴的,但也被用到射频领域而同轴连接器也可用在低频,例如,非常常见的音频耳机插头,频率不超过3MHz. 从传统的角度来讲, 射频指MHz范畴, 现在的同轴连接器往往被用在微波领域,GHz范畴,“射频”一词一直沿用, 重叠于“微波”一词之上 ),是连接器的一个分支,有连接器的共性也有它的特殊性。同轴连接器有内导体和外导体, 内导体用于连接信号线而外导体不仅是信号线的地线(体现在外导体内表面),也起到屏蔽电磁场的作用(屏蔽内部电磁波对外部的干扰通过外导体内表面起作用,屏蔽外部电磁场对内部的干扰通过外导体外表面起作用),这种特点赋予同轴连接器很大的空间和结构优势.同轴连接器的内导体外表面和外导体内表面基本上是圆柱面-特殊情况往往是机械固定所需,而且有共同的轴线,故被称为同轴连接器。在传输线(Transmission lines)的几种形式中,同轴线缆由于它突出的优点(结构简单,空间利用率高, 制造较容易,传输性能优越...)被普遍采用而产生连接同轴线缆的需求,同轴连接器便应用而生。由于同轴结构的优越性,使(同轴)连接器(相对于别的连接器)特征阻抗的连续性更容易被保证,传输干扰和被干扰(EMI)很低,传输损耗少而几乎唯一地被用到射频,微波领域。而正因为几乎绝对地被用在高频上,产生一些有别于其他连接器的电性能要求.
射频同轴连接器应用领域
消费电子类产品一般对可靠性要求没那么高,因为即使产品失效可能重新启动就正常了,但是军工品,医疗产品,汽车产品,航空产品,重要的工业设备,以上应用场合一旦出现产品失效,后果严重,所以这种场合下必须使用可靠性更高的同轴连接器.
BNC是最早的射频同轴连接器,二次世界大战期间,由于战争急需,各类舰
载机载电子设备的损坏,令到美国海空作战武器大量损伤待修,为了压缩修理时间,美国海军部集中了一部分优秀科研人员和工程师,在较短时间内发明了快速插合分离的连接器BNC(Bayonets - Navy Connector),成为全世界射频同轴连接器的发端。
随着雷达、电台和微波通信的发展,产生了N、C、TNC、等系列,1958年后出现了SMA、SMB、SMC等小型化产品,1964年制定了美国军用标准MIL-C-39012《射频同轴连接器总规范》,从此,RFC开始向标准化、系列化、通用化方向发展,所以也最早的发展是从军工系开始.
也因此美国是世界上最大的通用型RF连接器制造和消费国,当然其技术水平也是一流的;因此美国军用标准MLC39012被认为是RF连接器的最高标准;其它先进国家的标准有德国DIN、英国BS、日本JIS和IEC标准等;这些国家或国际标准大都是参照或等同美军标制订的,有些国家或公司甚至直接应用美军标.
国内RF连接器行业的历史和现状
连接器作为一个行业,在我国的发展轨迹和其他工业行业一样,都是在前苏联的影响下起步的。但是到60年代初期,和苏联关系破裂,特别是在政治上给予苏联“修正主义”的定义后,我国开始由整机厂“独立”研制生产RF连接器,实际上依旧是仿制苏式连接器。
70年代开始,当整机厂、所将连接器转移到专业厂家进行生产时,开始关注国际通用连接器(本质上就是美制连接器)。然而为了摆脱“苏修”的影响,也不能跟随“美帝”,此时将各种美制连接器进行改制,在将图纸上的英制标注转换成公制时,一方面把尺寸进行圆整,另一方面根据汉语拼音重新命名美制连接器。例如:将BNC改名为Q9,部分尺寸圆整,各类安装螺纹全部由英制改为公制;SMA转化成L6、L7和L8三个系列(后期L7应用极少,主要品种为L6、 L8),界面尺寸和英制螺纹全部改为公制。同时,这一时期,为了推动国内整个行业的快速发展,国家组织了大量专家和工程技术人员,实施“集中设计”共享各类技术成果,甚至很多厂、所的同类产品以及零件的编码都是一致的。从发展的角度来看,这一阶段对于国内连接器的发展是极其重要的,不仅仅能够消化国际上的标准和产品技术,而且奠定了产业布局,实现了产品自主,为武器系统、空间系统、各类通信系统的发展奠定了基础;更为国内培养了大量的技术人才、生产管理人才和国家层面的行业管理人才。这样的集体协作一直延续到80年代后期和90年代初期,这一时期所培养培育的
人才和产业基地,至今依旧是国内这个行业的中坚。80年代起,主要采用国际标准研制生产国际通用系列产品,以国营和集体企业为主,陆续出现一些民营、合资和外资企业。到目前国内RF连接器生产厂家官方认为已有几百家,但实际上,笔者认为到21世纪应该是数以千计。规模都不大,骨干厂家的生产手段、通用连
接器的生产水平已与国外不相上下。特别是当年上海、西安的几家国营军工厂商,不仅仅其加工制造水平紧跟国际领先步伐,而且产品理解、产品开发、加工制作在亚太地区处于领先状态。还搭建了在亚洲地区屈指可数的实验设备,检测手段也相对比较完善,很多国家级的检验验收均借助这些企业的协助。80年代至90年代,也是国内连接器在理论研究、工艺研究开始总结、发起冲刺的阶段,在
国防科工委和电子部军工司的领导下,由电子标准化研究所牵头组织了大量的国家标准、行业标准、国军标、行业军标的研究制定工作。同时开展了各项基础理论研究和可靠性研究,材料和工艺设备的研究,结合了广泛的行业内外专家和上下游企事业单位。当时所提出的一些新观点、新看法不仅仅在国内、甚至亚太地区都处于领先地位,具备极强的超前意思。这一时期,是整个连接器的黄金阶段,为行业的
发展积淀下极其宝贵的财富和知识积累。
然而,经过近20年的市场竞争,军工企业的放开,国内的连接器企业在行业上也并非国家感兴趣的必须垄断行业,国营企业因行政干扰和领导不作为的因素,纷纷凋零、或者竞争力急剧下降,加上同质化竞争的因素,纵观这些林林总总、大大小小的连接器企业,没有一家真正摆脱单纯的制造业境地,所谓的研发,无非是在原有系列品种上加以小小的修改,就像144张麻将牌一样排列组合而已。最后的结局就是杀价、杀价、杀价,一直杀到利润空间几乎为零,二次投入的资金捉襟见肘,加工设备的更新也已不容易,更谈何真正的研发和创新。值此混乱之际,借国门洞开
的机会,国外企业大举进军国内,不仅把国内作为一个廉价劳动力充盈的制造基地,更在市场上利用其终端客户也在大陆地区建厂的机会,将其产品供应端架设到大陆,这个时期本身应该是中国企业依赖原有基础,依赖政府指导,积极学习,大力整合的大好时机,但是政府和企业却走上一条割肉补疮,表面改革的道路,消灭了优秀企业的活力,赶走了人才资源,和其他行业一样,将企业赶入恶性竞争的不归路。在高端连接器方面,我们曾经摸索出一条很有效的道路。由航天航空等高端需求单位(主要都是军工单位)通过各种渠道将整机输入到国内,测试、解剖、分析之后将部件、器件、元件分门别类,通过简单竞标方式交由相关行业的骨干企业实施模仿研制,根据本国实际状况尽量将产品的各项指标和工艺接近国外水平。结合行业内的各种技术交流平台,形成各大企业齐头并进的局面,而且所有产品基本都能和国际标准看齐(当然有几项指标一直没能准确检测,不过并不影响运用和总体性能)。
然而今天,我们却再也看不到这样的情形了。当国际上主流企业的产品在层出不穷地涌现时,我们的连接器制造行业,在各个层面都没有真正的同步进步,还是在老的规格型号上打转,差距日增,难以弥补。去年夏威夷国际电子展,国内几位老总的观后感是大跌眼镜,感慨国内外这个行业竟已差距到了这个地步,信心顿失,气势顿消。更不可理解的是,本行业的工程技术人员中,无论老中青,有相当部分变得目光短浅,无法认清行业的危机所在,而沾沾自喜于“假创新”,甚至沉迷于这种虚假的游戏中自娱自乐,来自北大末名的分享.
射频连接器分类
按连接界面结构分为:
1.卡口式(内卡口、外卡口):BNC;
2.螺纹式(右旋螺纹、左螺):L29(7/16),N,F,TNC,SMA,SMC,SSMA,SSMB,FME,L9(1.6/5.6),7mm,3.5mm,2.4mm,K(2.92mm),1.85mm,1mm;
3.推入式(直插式、自锁式):SMB,SSMB,MCX,MMCX,SMP,SMI,BMA,SAA;
4.法兰连接式.
按尺寸大小分类:
1.标准型:UHF,N,7/16,7mm;
2.小型:BNC,TNC;
3.超小型:SMA,SMB,SMC,MCX,BMA,SAA,3.5mm;
4.微型:SSMA,SSMB,MMCX,2.4mm,K(2.92mm),1.85mm,1mm;
按频率分类
音频(Audio)、视频(Vidio)、射频(Radio)、光纤( fribre optic)四大类。
频率范围如下:
Audio---20KHz以下
Vidio----30MHz~500MHz以下
Radio----500MHz ~300GHz
Fibre-----167THz ~375THz
其中应用在 Radio波段的连接器称作RF连接器。
按端接方式分为
连接器MIL-C-39012(GJB681)
转接器MIL-A-55339(GJB680)
微带与带状线ML-C-83517(GJB976)
按功能分为:
通用型(2级)
精密型(0级、1级)
专用型(耐辐照、耐高压、防水等)
多功能型(含有滤波、调相位、混频、衰减、检波、限幅等)
典型毫米波同轴连接器的特性
SMA连接器 的工作频率到22GHz,它不是一个毫米波连接器,但是它对毫米波连接器的发展有很大的影响,因此很有必要先对它作个介绍。SMA是由Bendix公司在上世纪50年代末期为半硬同轴电缆而设计的。它的配合空间用聚四氟乙烯介质填充,结构比较简单。这种连接器当初并没有打算长久使用,更没有作为一个精密连接器来考虑,因此它只是一个普通系统用的连接器。在当时情况下,由于它的体积小,能在较高频率下工作,很快得到了普及,甚至到后来发展出更新一代毫米波同轴连接器时不得不考虑与他的兼容。可是由于它先天性不足,也为后来发展小型同轴连接器带来了一些限制。SMA存在的主要问题是精度不高,不适合测试设备的需要;其次是外导体的壁比较薄,内导体插孔又是两槽结构,在使用中非常容易被磨损和发生损坏故障;再其次是使用频率不高,不能适应工作频率带达40GHz以上系统的需求。由于SMA存在这些缺陷,一些制造商就开发了一批能与SMA兼容的连接器,主要型号有3.5mm,WSMA以及后来发展的2.92mm,MPC3,KMC和WMP4等。这些连接器克服了SMA的局限性,在结构上与SMA也不相同,就外导体的接触面积讲,新开发的连接器都大大加强,提高了连接器的坚固性.
3.5mm连接器 ;在上世纪60年代中期,美国商业部为了小型精密同轴连接器的标准化成立了一个联合工业研究会(JIRC),经过努力于1972年提出一个民用产品标准,空气传输线的尺寸缩小到3.5mm,无模工作状态下的频率扩展到36GHz。随后推出一种与它相匹配的3.5mm鸳鸯连接器(头座相同)。但由于它的精密度高,价格昂贵,阻碍了把它作为一个通用连接器而广泛使用。由于形势的需要,Hewlett-Packard等公司研制出一种高精度,价格比较便宜的3.5mm连接器,配合空间由空气介质填充,内导体插孔采用无槽结构,实际上是在有槽插孔外面加上一个无槽的保护套。额定工作频率达33GHz。它在两个绝缘子之间选择了足够大的距离,0.50英才(12.27mm),为D的3.5倍。3.5mm连接器能与SMA兼容,能进行无损地对接。在SMA工作频段范围内,3.5mm连接器的电压驻波比特性与SMA相近。3.5mm连接器最初设计是作为一种低成本,企图能代替SMA,但是它未能及时形成批量以达到提前降低成本的目的,结果使得3.5mm连接器的价格偏高,这就是3.5mm连接器未能代替SMA的原因。3.5mm连接器由于它的精密性和良好的耐磨性,特别适用于测试设备上。
2.92mm连接器 在结构上3.5mm与连接器相似,只不过是更小一些,允许工作频率到46GHz,其内导体尺寸与SMA相同为0.05英寸(1.27mm)。2.92mm连接器最早是Maury Microwave公司研制出来的(MPC-3型)。由其他公司研制的这类连接器还有K型、KMC型、WMP4型等。K型连接器是在1983年由Wiltron公司研制出来的,它能与SMA、3.5mm、WSMA连接器兼容。K型连接器的心脏是它的过渡器,它用一个玻璃绝缘子实现同轴连接器到微带电路的刚性过渡,这就保证在更换连接器或维修时不会损伤电路。
毫米波同轴连接器的可靠性受到插拔力、外导体强度、配接时的应力消除情况及配接时同心度的影响。K型连接在这些方面都具有良好的性能。在正常情况下,K型连接器的插拔力为0.5磅(2.22N)而SMA是它的三倍。K型外导体的壁厚是SMA的四倍,其可靠性相当于SMA的30倍,这一点已被试验所证实。试验表明,K型连接器经一万次插拔后,其电气性能几乎没有什么变化。它特别适合于系统和测试仪器上使用。
2.4mm同轴连接器 的研制成功标志着毫米波连接器发展走上一个新的台阶。在它前面发展的一系列小型同轴连接器在结构上作了不少改进,但是在连接器的坚固性和可重复性方面仍然改进得不够。这就使得仪器和校准标准方面出现一连串的问题,因为这些地方需要有更高的对准性、坚固性和可重复性。在以前开发的小型连接器由于受到要与SMA兼容的限制而影响了连接器的性能,例如,当与SMA配合时,由于SMA尺寸公差范围非常之大,能偶然发生阴中心导体(插孔)外径增大的故障,并且高频覆盖能力较小,中心接触体也很脆弱(易断)。这就迫切需要研制一种新型同轴连接器,要求无模工作到50GHz,坚固性和可重复性高并具有抗偶然故障的能力。在这样一个新的要求下,Hewlett-Packard,Omni Spectra、Amphenal等公司相继开发出一代新型小型2.4mm连接器。2.4mm连接器配合空间使用空气介质填充,达到低损耗。中心导体支撑采用高性能绝缘子,其上面的补偿孔是不通孔,能防止污物进入连接器的内部。两个绝缘子之间有足够大的距离,使互相影响减至最小。中心导体插孔采用四槽结构(用于生产级和仪器级)和无槽结构(用于计量级)。它的外形很像SMA,APC-3.5,为了不致于发生与这些连接器发生偶然配合,所以连接器的连接螺纹采用公制M7×0.75。为了保护插孔不被损坏,在插针接触插孔前外导体已配合到50%以上。2.4mm连接器在DC~50GHz整个范围内都具有良好的性能,反射损耗都小于SMA、APC-3.5、K型连接器,结构具有很高的可重复性。2.4mm连接器能适用于很宽的领域,是第一个具备有生产级、仪器级和计量级三个等级的产品。
1.85和1.0mm连接器 ;美国Hewlett-Packard公司是一个从事电子设备和元件的制造公司,它在毫米波连接器研制中一直处于领先地位。在1986年欧洲微波会议上他们又首次推出1.85mm的连接器,使工作频率扩展到65GHz。后来Wittron公司经过改进,并于1989年1月宣称在360型网络分析仪中使用了1.85mm(V型)连接器,并能同2.4mm连接器兼容。V型连接器的结构形式与K型相同,只不过尺寸更小一些。它与微波电路的连接也是用一个过渡器——玻璃绝缘子,其中心导体的直径只有9密耳(0.23mm)。
进入上世纪90年代,Hewlett-Packard公司宣布他们又研制成功1.0mm连接器,这是目前世界上最小的毫米波连接器,内导体直径约为0.43mm(50Ω),最高工作频率达110GHz。
同轴连接器主要的高频特性
1、特性阻抗; 同轴线缆的特性阻抗决定于外导体内径与内导体外径的比值以及内外导体间的介质的介电常数.由于趋肤效应;电磁波是在导体的表面传输,故重要的直径是外导体的内径和内导体的外径.同轴线缆的阻抗需与系统的阻抗匹配.常见的同轴线缆的阻抗是50,75,95欧姆,其他从35到185欧姆的阻抗有时也能见到.50欧姆电缆用于微波和无线通讯.75欧姆线缆典型应用是有线电视和视频.95欧姆线缆常用于数据传输.为了达到最好的系统性能,所选的线缆阻抗必须与系统别的零部件阻抗匹配,在所有常见的同轴线缆中,75欧姆提供最小的衰减而35欧姆提供最大的功率传输能力.对于实际(非理想介质和导体)的同轴电缆,这些方面的差异并不大.线缆及相关零部件的特性阻抗的可选择性一般是我们选择系统的特性阻抗的决定性因素.特性阻抗(Zo)是RF连接器十分重要的基本参数,它直接影响电压驻波比、工作频带、插入损耗等指标;点击进入《阻抗的高频参数介绍》
2、讯号反射(RL)
当RF能量进入同轴电缆组件(coaxial cable assembly)后出现3种现象:1,能量传输到电缆的另一端-这往往是希望的;2,能量在线缆的传输过程中出现衰减/损耗:部分被转化为热量而另外一部分被泄露到线缆外面;3,能量被反射到线缆组件输入端.能量被反射到输入端是由于电缆组件的阻抗在长度方向的变化,包括电缆与被连接的元器件之间的阻抗变化,连接器及连接器与线缆的连接界面是典型的反射源.线缆本身也会引起反射,它的反射来源之一是由于工艺造成的阻抗在线缆长度方向上的周期性变化,这种变化在某特定频率会叠加产生特性跳跃.低回波损耗往往是同轴元器件(如同轴线缆,同轴连接器及线缆组件)优越性能的特征.它表明线缆在长度方向的一致性保持的有多好,也显示同轴连接器是否被正确设计和(与线缆)连接以及不同尺寸的传输线在连接器内部的过渡被补偿的多好!它是频率的函数,一般是频率越高回波损耗越大.在很多应用中,低反射是系统的关键性能指标,在这种场合选择同轴线缆和同轴连接器时考虑这方面的因素就必不可少.此外为了满足性能要求,必须确保同轴连接器与同轴电缆被正确连接.对于电压驻波比有高要求的场合,采购完整的由专业厂家组装和测试的线缆组件不失为明智之举.需留意由于反射的缘故在特定频率实际的输入阻抗与线缆的特性阻抗会存在一定的差异.一定长度的电缆的电压驻波比反映了电缆的实际输入阻抗与它的平均特性阻抗的差异.在工作温度范围内,较长的电缆的阻抗一般变化不大--小于2%.为了匹配的目的,生产出特性阻抗不断变化的线缆是可能的.故同轴电缆可被用作匹配信号源和负载的宽带阻抗转换器.但这种电缆需根据应用要求特别设计定制.
3、衰减 (Attenuation)
衰减是信号沿着线缆传输的损失.射频信号通过线缆时,一部分转化为热一部分穿过屏蔽层被泄露离开线缆.因为衰减随着频率而增大而增加,故衰减一般被表征为在特定频率单位长度的分贝数.一般的应用是尽量减小信号在线缆传输过程中的损耗或控制在规定范围内.最小的损耗是0分贝的衰减或是输入输出的功率比是1:1.因为对于相同的结构来说线缆越大衰减越小故减小衰减意味着增大线缆的个头.衰减决定于铜损(导电性损耗)和介损(绝缘性损耗).大的电缆具有更好的导电能力,更小的铜损---更小的衰减,但介损与尺寸大小没有关系.介损与频率呈现线性关系而铜损与频率的平方根成正比---趋肤效应,故频率增大时介损比铜损明显---频率较高时介损是衰减的主要因素.温度升高时导体的导电率降低,介质的功率因子增大,故温度升高时电缆的衰减增大,电缆在不同温度的衰减情况需用温度系数来修正.为了选择出所需的电缆,先确定系统允许电缆在最高的使用频率时的衰减,在根据应用环境的温度状况修正允许的衰减量.
点击进入:《衰减参数介绍》
4、电压驻波比(VSWR)
VSWR定义为传输线上电压(电流)最大幅值最小幅值之比,是RF连接器最重要的电气指标,是衡量RF连接器性能优劣的主要依据。
相关问答
rf接口怎么连接?
RF输出线是-5的同轴电缆,做好75欧天线插头,插在新买的电视的高频头输入插口上。再把电视机的信源确定为TV(即电视)模式,进菜单找到节目搜索菜单,选择“自动...
什么是RF同轴线?
就是射频同轴线,电线结构主要分为导体,绝缘体,屏蔽层和外被,比普通的电线结构复杂一点点了。射频同轴线按阻抗分一般有50Ω和75Ω,用于信号传输,如手机同轴...
模拟电视信号传输的终端接口是什么端口?单孔终端盒是否就是射频端口?
模拟电视信号传输的终端接口是75欧姆的同轴线射频端口,单孔的终端盒上面也是这种射频端口,两者可以通过同轴信号线进行连接。1、RF射频端子,英文名是RadioFre...
闭路线能做监控线吗?
线电视线使用射频电缆,代号是SYWV(聚乙烯物理发泡绝缘,PVC护套);监控视频线使用视频电缆,代号是SYV(实心聚乙烯绝缘,PVC护套)。电视闭路线与监控线的区别在...
GP-YJRF-8.7/151*35是什么电缆呢,这些字母分别表示什么意...
[回答]你看看下文吧。1.G代表硅橡胶2.P代表屏蔽3.YJ电缆Yj是绝缘代码,指的是交联聚乙烯。4.RF射频电缆,家用闭路电视线就是其中一种,通常这种电缆有阻...
阻抗匹配是50欧的芯片用在阻抗75欧的电路上会出现什么问题?
阻抗不匹配的电路信号传输会发生发射,负载得不到最大功率。频率越高,对阻抗匹配要求越高,功率级输出且电路保护功能不完善时,阻抗不匹配造成的反射功率会烧毁...
泄露同轴电缆和射频同轴电缆有什么不同?_住范儿家装官网
在通信领域,主要用于较长距离的覆盖,用于替代天线同轴电缆的外壳是屏蔽的,用来对信号进行传输1、两者的执行标准不同,也就是电气参数不同,简单点...
楼主请问!世界知名的射频同轴电缆或者射频线品牌?
[回答]传输有线电视信号的,射频即RadioFrequency,通常缩写为RF。表示可以辐射到空间的电磁频率,频率范围从300KHz~30GHz之间。射频简称RF射频就是射频电...
平衡线110欧跟75欧区别?
平衡线指的是两个导体线(通常是同种材质),在电路中具有相同的电阻值,分别为110欧和75欧。这两种阻抗值主要应用于音频和视频传输中。1.110欧平衡线:110欧...
风湿类风湿的中医治疗方济_千问健康
女65岁关节疼痛20年现手指关节已变形遇冷加重.舌苔白腻脉儒滑。
