丙氨酸的rf值 丙氨酸正常值是多少

小编头像

小编

管理员

发布于:2025年05月05日

165 阅读 · 0 评论

丙氨酸正常值是多少

丙氨酸一般指丙氨酸氨基转移酶,丙氨酸氨基转移酶的正常值一般是男性5~40U/L,女性5~35U/L。

丙氨酸氨基转移酶主要存在于肝脏内的肝细胞胞浆中,当肝细胞被破坏时,会大量释放入血,使数值增高,其是反映肝脏损伤的灵敏指标,临床上主要用于肝脏疾病的诊断。

丙氨酸氨基转移酶的正常值范围一般是男性5~40U/L,女性为5~35U/L,不同医院由于检测方式不同,正常值可能有一定偏差,以检查所在医院为准。

如果数值超过正常值,提示患者存在肝功能受损,可能由病毒性肝炎、酒 精性肝炎、脂肪肝、胆囊炎、肝硬化等疾病造成,要注意良好饮食,数值较高时应就诊明确病因并治疗。

检查结果出现异常,建议及时前往正规专业医院进行就诊,在专业医师的指导下进行系统的治疗,切忌私下自行诊治,避免延误最佳治疗时机,以致延误病情。

20种常见氨基酸——丙氨酸

中文名:丙氨酸

英文名:Alanine;3-Aminopropanoic

化学名:2-Aminopropanoic acid

分子式:C3H7NO2

CAS号:L: 56-41-7 D/L: 302-72-7 D: 338-69-2

分子量:89.094 g/mol

外观:白色粉末

熔点:258 °C (496 °F; 531 K) (sublimes)

密度:1.424 g/cm3

水溶性:167.2 g/L (25 °C)

Skeletal formula of L-phenylalanine骨架结构式

ball-and-stick model球棍模型

space-filling model空间结构模型

丙氨酸(符号Ala或A)或α-丙氨酸,是一种α-氨基酸,用于蛋白质的生物合成。它包含一个胺基和一个羧酸基,都连接在中心碳原子上,碳原子还带有一个甲基侧链。因此,它的IUPAC系统名称为2-氨基丙酸,被归类为非极性的脂肪族α-氨基酸。在生物条件下,它以两性离子的形式存在,胺基质子化(as - NH3+),羧基去质子化(as - CO2-)。它对人类来说是非必需的,因为它可以通过代谢合成,不需要出现在饮食中。它由所有以GC (GCU、GCC、GCA和GCG)开头的密码子编码。

丙氨酸(左手氨酸)的l型异构体是与蛋白质结合的异构体。在1150个蛋白质样本中,l -丙氨酸的出现率仅次于亮氨酸,占一级结构的7.8%。右旋形式,d -丙氨酸,出现在某些细菌细胞壁的多肽和某些抗生素肽中,并作为渗透液出现在许多甲壳类和软体动物的组织中。

历史和词源

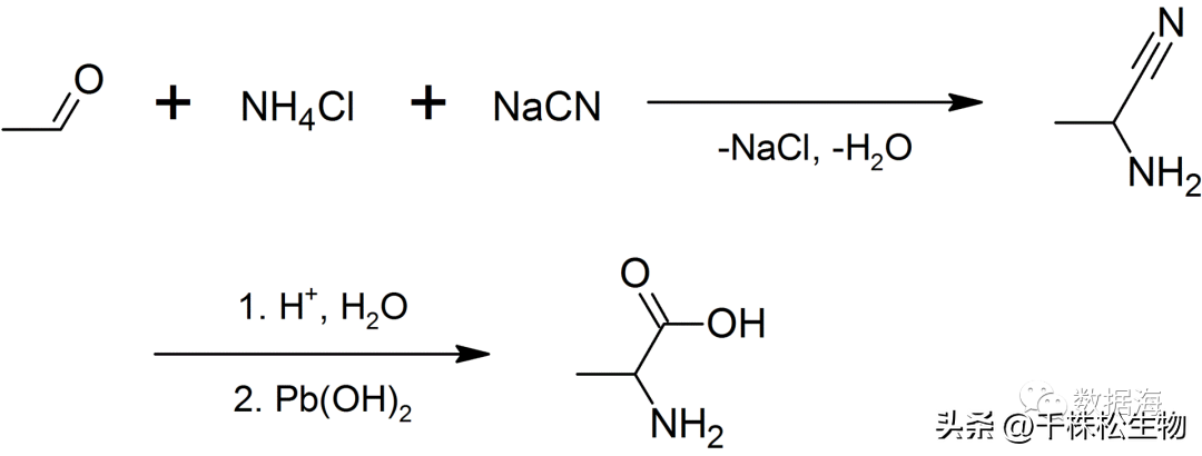
1850年,阿道夫·斯特莱克(Adolph Strecker)将乙醛、氨与氰化氢结合,首次合成了丙氨酸。这种氨基酸在德语中被命名为Alanin,与乙醛有关,为了发音方便,它的中缀是-an-,德语中以-结尾的化合物与英语中的-ine类似。

结构

丙氨酸是一种脂肪族氨基酸,因为连接α-碳原子的侧链是一个甲基(-CH3);丙氨酸是继甘氨酸之后最简单的α-氨基酸。丙氨酸的甲基侧链不具有反应性,因此几乎不直接参与蛋白质功能丙氨酸是一种非必需氨基酸,这意味着它可以由人体制造,不需要通过饮食获得。丙氨酸存在于各种各样的食物中,但尤其集中在肉类中。

来源

生物合成

丙氨酸可以由丙酮酸和支链氨基酸如缬氨酸、亮氨酸和异亮氨酸合成。

丙氨酸是由丙酮酸还原胺化反应产生的,这是一个两步过程。第一步,谷氨酸脱氢酶将α-酮戊二酸、氨和NADH转化为谷氨酸、NAD+和水。在第二步,新形成的谷氨酸的氨基被转氨酶转移到丙酮酸,再生α-酮戊二酸,并将丙酮酸转化为丙氨酸。最终的结果是丙酮酸和氨被转化为丙氨酸,消耗一个还原当量。因为转氨反应很容易可逆,而且丙酮酸存在于所有细胞中,丙氨酸很容易形成,因此与糖酵解、糖异生和柠檬酸循环等代谢途径联系密切。

化学合成

l -丙氨酸是由l -天冬氨酸通过天冬氨酸4-脱羧酶脱羧而工业化生产的。丙氨酸外消旋酶使l -丙氨酸的发酵途径变得复杂。在氰化钠存在下,乙醛与氯化铵缩合,经Strecker反应、反应或2-溴丙酸氨解可制得外消旋丙氨酸。

丙氨酸化学合成

降解

丙氨酸被氧化脱氨分解,这是上述还原性胺化反应的逆反应,由相同的酶催化。这一过程的方向在很大程度上受所涉及的反应的底物和产物的相对浓度的控制。

丙氨酸世界假说

丙氨酸是二十种典型α-氨基酸之一,用于核糖体介导的蛋白质生物合成的构建模块(单体)。丙氨酸被认为是最早被包括在遗传密码标准库中的氨基酸之一。在此基础上,提出了“丙氨酸世界”假说。这一假说从化学的角度解释了遗传密码库中氨基酸的进化选择。在该模型中,核糖体蛋白合成的单体(即氨基酸)的选择仅限于那些适合构建α-螺旋或β-片二级结构元件的丙氨酸衍生物。我们所知道的生命中主要的二级结构是α-螺旋和β-片,大多数典型的氨基酸可以看作是丙氨酸的化学衍生物。

因此,蛋白质中的大多数规范氨基酸可以通过点突变与Ala交换,而二级结构保持不变。事实上,Ala模拟了大多数编码氨基酸的二级结构偏好,这在丙氨酸扫描突变中得到了实际利用。此外,经典的x射线晶体学经常使用聚丙氨酸-骨架模型来确定蛋白质的三维结构,使用分子替换-一种基于模型的相位方法。

生理功能

Glucose-alanine周期

在哺乳动物中,丙氨酸在组织和肝脏之间的葡萄糖-丙氨酸循环中起着关键作用。在肌肉和其他降解氨基酸作为燃料的组织中,氨基通过转胺作用以谷氨酸的形式被收集起来。谷氨酸再通过丙氨酸转氨酶的作用,将其氨基转移为丙酮酸,丙酮酸是肌肉糖酵解的产物,形成丙氨酸和α-酮戊二酸。丙氨酸进入血液,并被运送到肝脏。丙氨酸转氨酶反应在肝脏中反向发生,在肝脏中再生的丙酮酸被用于糖异生,形成葡萄糖,通过循环系统返回肌肉。肝脏中的谷氨酸进入线粒体,被谷氨酸脱氢酶分解为α-酮戊二酸和铵,进而参与尿素循环形成尿素,并通过肾脏排泄。

葡萄糖-丙氨酸循环使丙酮酸和谷氨酸从肌肉中被去除,并安全地运输到肝脏。一旦到达那里,丙酮酸被用来再生葡萄糖,之后葡萄糖返回肌肉进行能量代谢:这将糖异生的能量负担转移到肝脏而不是肌肉,肌肉中所有可用的ATP都可以用于肌肉收缩。它是一种分解代谢途径,依赖于肌肉组织中的蛋白质分解。它是否在非哺乳动物中发生以及在多大程度上发生尚不清楚。

与糖尿病的联系

丙氨酸循环的改变会增加血清丙氨酸转氨酶(ALT)的水平,这与II型糖尿病的发展有关。

化学特性

(S)-丙氨酸(左)和(R)-丙氨酸(右)在中性pH下的两性离子形式

丙氨酸在有关磷酸化的功能丧失实验中是有用的。一些技术涉及创建一个基因库,每个基因库在感兴趣的区域的不同位置都有一个点突变,有时甚至在整个基因的每个位置都有一个点突变:这被称为”扫描突变”。最简单的方法,也是第一个被使用的方法,是所谓的丙氨酸扫描,每个位置依次被突变为丙氨酸。丙氨酸加氢生成氨基醇丙氨酸,它是一个有用的手性组成部分。

自由基

丙氨酸分子的脱氨作用产生自由基CH3C•HCO2-。脱氨作用可以在固体或水丙氨酸中通过辐射引起碳氮键的均裂而诱导。丙氨酸的这一特性被用于放射治疗中的剂量测量。当正常的丙氨酸受到辐射时,辐射会使某些丙氨酸分子变成自由基,由于这些自由基是稳定的,所以稍后可以通过电子顺磁共振来测量自由基的含量,从而知道丙氨酸受到了多少辐射。这被认为是一种与生物学相关的测量方法,用来衡量在同样的辐射暴露下,活组织所遭受的辐射损伤量。放疗治疗计划可以在测试模式下交付给丙氨酸颗粒,然后可以进行测量,以检查治疗系统是否正确交付了预期的辐射剂量模式。

相关问答

氨基酸Rf值与其极性,非极性的关系是什么–960化工网问答

所以极性氨基酸可看作是溶于水的氨基酸,反之,则不易溶于水。Rf是指氨基酸的迁移率,取决于氨基酸的极性和疏水性,极性越大迁移率越小,疏水性越大迁移率越大。1...

根据实验测得亮氨酸和丙氨酸的比移值,判断哪个极性大?

同种展开剂的话,是的。Rf值越大,极性越小。此外,通过比较结构也可得到同样的结论。亮氨酸碳链相较于丙氨酸碳链更长,因此极性较小。。同种展开剂的话,是的。R...

标签:

相关阅读